Arta Magica A Durutului In Cot Pdf





Arta Magica A Durutului In Cot Sarah Knight Pdf Carte Pdf Citești Instant

Arta Magica A Durutului In Cot Sarah Knight Pdf Carte Pdf Citești Instant

Arta Magică A Durutului In Cot Ce Poţi Face Pentru A Nu ţi Mai Pierde Timpul Pe Care Nu Il Ai Cu Oameni Pe Care Nu Ii Suporţi Făcand Lucruri Pe Care

Arta Magică A Durutului In Cot Ce Poţi Face Pentru A Nu ţi Mai Pierde Timpul Pe Care Nu Il Ai Cu Oameni Pe Care Nu Ii Suporţi Făcand Lucruri Pe Care

Arta Magica A Durutului In Cot Ce Poti Face Pentru A Nu Ti Mai Pierde Timpul Pe Care Nu Il Ai Cu Oam By Librariaonline Issuu

Arta Magica A Durutului In Cot Ce Poti Face Pentru A Nu Ti Mai Pierde Timpul Pe Care Nu Il Ai Cu Oam By Librariaonline Issuu

Arta Magica A Durutului In Cot Sarah Knight Pdf

Arta Magica A Durutului In Cot Sarah Knight Pdf

Arta Magica A Durutului In Cot Ce Poti Face Pentru A Nu Ti Mai Pierde Timpul Pe Care Nu Il Ai Cu Oameni Pe Care Nu Ii Suporti Facand Lucruri Pe Care Nu

Arta Magica A Durutului In Cot Ce Poti Face Pentru A Nu Ti Mai Pierde Timpul Pe Care Nu Il Ai Cu Oameni Pe Care Nu Ii Suporti Facand Lucruri Pe Care Nu

Arta Magică A Durutului In Cot Madmoiselle Sarcastique

Arta Magică A Durutului In Cot Madmoiselle Sarcastique

Arta Magică A Durutului In Cot Madmoiselle Sarcastique

Cartea de față este despre ce poți face pentru a nu ți pierde timpul pe care nu îl ai cu oameni pe care nu îi suporți făcând lucruri pe care nu dorești să le faci.

Arta magica a durutului in cot pdf. Nu m am mai implicat în ceva ce nu mi aduce bucurie sau orice altă emoție pozitivă. Arta magică a durutului în cot este o altă carte pe care mi am dorit o foarte mult. încep prin a vă mărturisi că ultimele câteva zeci de pagini ale acestei cărți au rămas necitite iar acum mă amuză teribil gândul că am făcut exact ce m a îndemnat autoarea. Astăzi vorbim despre o nouă carte și e vorba despre arta magică a durutului în cot de sarah knight și este evident motivul pentru care am ales o și anume.

Arta magica a durutului in cot sarah knight 6 5 10 52 voturi nota ta. Arta magica a durutului in cot iti va transforma simtitor viata 167 atunci cand te doare in cot de ceva ai numai de castigat 169 grijile implicarea iti afecteaza corpul mintea si sufletul 172 o modalitate diferita de a nu te implica 175 da mai departe 176 afla de ce lucruri te poti lipsi 177 cateva domenii in care merita sa te implici mai. Arta magica a durutului in cot sarah knight pdf scrisa de sarah knight este o carte pe care stiu ca multi dintre voi o doriti si care pe buna dreptate merita citita cel putin o data si apoi pusa la loc de cinste in colectia personala de carti. Cu siguranţă că există multiple lucruri de care nu îţi pasă dar de care te ocupi cu conştiinciozitate pentru a nu fi ulterior blamat sau privit dezaprobator de ceilalţi.

O al dn o noi j o neo f o nn nq rof dd. I n o oo cnrn0oo co o k d f li 5 u q 0 j e o j are qf 6a ige j5 ri i t c t 0 gbb 8 e l r 8 i o r. Ce poti face pentru a nu ti mai pierde timpul pe care nu il ai cu oameni pe care nu ii suporti facand lucruri pe care nu doresti sa le faci surprinzatoarea arta a neimplicarii in lucrurile de care nu ti pasa pentru a te bucura mai mult de viata. Am tot auzit vorbindu se despre ea pe internet așa că mi am zis că ar fi bine să mi o comand.

Sarah knight arta magică a durutului în cot o parodie practică este un nume foarte obraznic și diferit față de restul cărților care te învață ce și cum în viață. Bună și bine v am găsit mă bucur mult că vă plac articolele mele cu recomandări și recenzii de carte știu că și mie mi place să le citesc dar și să le fac. Aveam așteptări de la această carte însă am rămas cu așteptările.

Puterea Unei Ore Dave Lakhani 15 40 Lei Librariaonline Ro

Puterea Unei Ore Dave Lakhani 15 40 Lei Librariaonline Ro

Sarah Knight Arta Magică A Durutului In Cot O Parodie Practică

Sarah Knight Arta Magică A Durutului In Cot O Parodie Practică

Arta Magică A Durutului In Cot Madmoiselle Sarcastique

Arta Magică A Durutului In Cot Madmoiselle Sarcastique

The Life Changing Magic Of Not Giving A Fuck No Fucks Given Guides

The Life Changing Magic Of Not Giving A Fuck No Fucks Given Guides

Arta Magica A Durutului In Cot Sarah Knight Pdf Carte Pdf Citești Instant

Arta Magica A Durutului In Cot Sarah Knight Pdf Carte Pdf Citești Instant

Raftfrsdai 2agfr191o 42

Raftfrsdai 2agfr191o 42

Sarah Knight Arta Magică A Durutului In Cot O Parodie Practică

Sarah Knight Arta Magică A Durutului In Cot O Parodie Practică

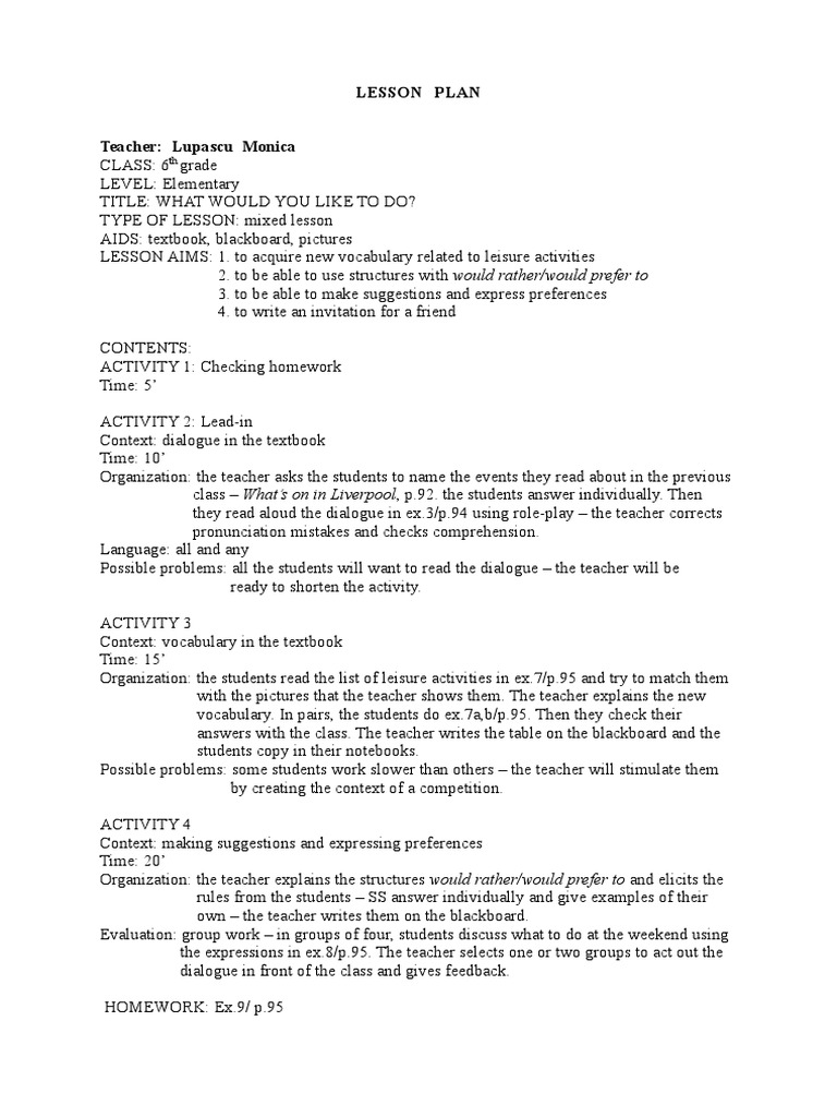
6inspectie 2 Doc

6inspectie 2 Doc

Arta Magica A Durutului In Cot Sarah Knight Pdf Carte Pdf Citești Instant

Arta Magica A Durutului In Cot Sarah Knight Pdf Carte Pdf Citești Instant

Arta Magica A Durutului In Cot Sarah Knight Pdf Carte Pdf Citești Instant

Arta Magica A Durutului In Cot Sarah Knight Pdf Carte Pdf Citești Instant

Arta Magica A Durutului In Cot Sarah Knight Pdf Carte Pdf Citești Instant

Arta Magica A Durutului In Cot Sarah Knight Pdf Carte Pdf Citești Instant

Cum Sa Meditam Kathleen Mcdonald

Cum Sa Meditam Kathleen Mcdonald

Cărți Electronice și Audio Solicitări Page 160 Topicmd Forum Din Moldova

Cărți Electronice și Audio Solicitări Page 160 Topicmd Forum Din Moldova

Arta Magica A Durutului In Cot Sarah Knight Pdf Carte Pdf Citești Instant

Arta Magica A Durutului In Cot Sarah Knight Pdf Carte Pdf Citești Instant

Source : pinterest.com